1571 replies · 182811 views

35 minutes ago, FatViking said:I just went thru the thread, I was first to nominate her.
She was nominated on the third post after nominations were open.

Updating THE LIST
Blondes
1. Elizabeth Turner
2. Elsa Hosk
3. Scarlett Leithold
4. Effy Harvard **
5. Megan Williams **
6. Maggie Rawlings **
7. Kari Riley **
8. Mishel Gerzig **
9. Taya Krav **
10. Romee Strijd **
11. Candice Swanepoel **
12. Polina Malinovskaya
13. Dioni Tabbers
14. Lea Mohr
15. Tanya Kizko
16. Bregje Heinen **
17. Rose Bertram *
18. Kristina Sheiter *
19. Sofija Milosevic **
20. Caroline Lowe **
21. Edita Vilkeviciute **
22. Hanna Edwinson **
23. Niamh Adkins **
24. Olga de Mar **
25. Eva Mikulski **
26. Rosmary Altuve **
27. Aude-Jane Deville **
28. Ana Cucoreanu **
29. Claudia Schiffer
30. Gintare Sudziute
31. Lindsay Ellingson
32. Omer Nudelman **
33. Gillian Nation **
34. Erin Michelle Cummins **
35. Anastasiya Mikhaylyuta **
36. Hannah Ferguson **
37. Frida Aasen **
38. Natasja Madsen **
39. Celeste Bright **
40. Jessica Van Der Steen
41. Adriana Sklenarikova-Karembeu
42. Lane Lindell **
43. Sima Jakuleviciute
44. Barrett Taylor Sharpe
45. Andrea Wittenberg
46. Madison Headrick
Brunettes
1. Carmella Rose
2. Celine Farach
3. Kelly Gale
4. Lorena Rae
5. Yael Shelbia
6. Renee Murden. **
7. Annie Morrissey. **
8. Jessica Nazarenus. **
9. Cindy Mello. **
10. Josephine Skriver **
11. Taylor Marie Hill **
12. Jasmine Tookes **
13. Barbara Palvin **
14. Chandler Bailey
15. Charlie Robertson
16. Elle Trowbridge
17. Raven Lyn
18. Rafaella Consentino *
19. Christen Harper **
20. Lucia Bramani **
21. Mariana Salaru *
22. Grace Elizabeth **
23. Hailey Outland **
24. Nicola Cavanis **
25. Shanina Shaik **
26. Sophie Gordon **
27. Marie Teissonniere
28. Arina Gladkova **
29. Myrtille Revêmont **
30. Mahlagha Jaberi **
31. Carina Zavlina **
32. Vika Bronova **
33. Alessandra Ambrosio
34. Heidi Klum
35. Kate Li
36. Kara Del Toro **
37. Emily Didonato **
38. Xian Mikol **
39. Colleen Cole **
40. Sarah Stephens **
41. Heather Stewart Whyte
42. Dasha Dereviankina
43. Alyssa Miller
44. Daniela López Osorio
45. Simone Villas Boas
46. Camila Morrone
47. Petra Nemcova **
48. Elle McPherson **
49. Talia Richman
50. Desiree Cordero
51. Juli Mery
52. Yulia Rose
* Indicates pictures received.
** Indicates template done.
2 changes have been made to the list:
Anna Selezneva replaced by Celeste Bright.
Maddie Teeuws replaced by Kari Riley.

After long deliberating with myself I'm bringing some numbers and details on what's to come:
We have 98 nominated models: 46 blondes and 52 brunettes.
From these, 40 will make it to the Regular Season: 20 blondes and 20 brunettes.
(Why not more? Having more participants would make this comp go on forever)
This means that the Qualifiers will be wildly competitive, specially for those with darker hair ![]()
![]()
![]()
The Qualifiers.
Blondes will be randomly split into 5 groups:
4 with 9 models, and 1 with 10.
The 4 best scores from each group will advance.
Brunettes will also be randomly split into 5 groups:
3 with 10 models, 2 with 11.
Again, the 4 best scores from each group will advance.
Those who advance to Regular Season will be randomly split into 2 groups: Group A and Group B. Each having 10 blondes and 10 brunettes.
These will be all-against-all matches within each group with a potential extra round Random A vs Random B.
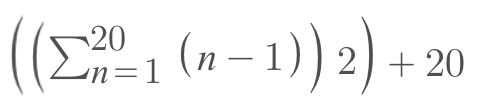
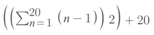
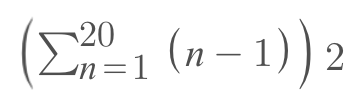
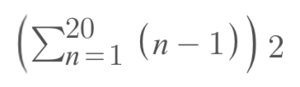
If anyone needs to know, this is the number of matches we'll have on Regular Season:
And if we do the extra round:
![]()
![]()
![]()
![]()
Still yet to determine if either 20 or 24 will make to The Playoffs.

12 hours ago, Stormbringer said:
Those who advance to Regular Season will be randomly split into 2 groups: Group A and Group B. Each having 10 blondes and 10 brunettes.
These will be all-against-all matches within each group
Including blonde vs blonde or brunette vs brunette matches ?
Don't u think only blonde vs brunette matches should be run ?

This sounds neat! Is it too late for me to join in?

1 hour ago, Alizarine said:Including blonde vs blonde or brunette vs brunette matches ?
This.
The blonde vs brunette matches will give points to either, as in general (3 a win, 1 for a tie, 0 a loss) so the Regular Season will be won by the blondes or by the brunettes. I'm thinking in using this also to help determine the final placements by breaking possible ties, but I'm still considering what would be the best mechanism for it.
I hope I'm explaining myself

5 minutes ago, bump said:This sounds neat! Is it too late for me to join in?
For making nominations I'm afraid it is.
But the competition hasn't started yet so you're more than welcome to vote!

1 hour ago, FatViking said:I agree that's why I said the following in a prior post:
Btw... please don't send pictures for those you haven't nominated...

Since we're on a new page...
Updating THE LIST
Blondes
1. Elizabeth Turner
2. Elsa Hosk
3. Scarlett Leithold
4. Effy Harvard **
5. Megan Williams **
6. Maggie Rawlings **
7. Kari Riley **
8. Mishel Gerzig **
9. Taya Krav **
10. Romee Strijd **
11. Candice Swanepoel **
12. Polina Malinovskaya **
13. Dioni Tabbers **
14. Lea Mohr **
15. Tanya Kizko **
16. Bregje Heinen **
17. Rose Bertram **
18. Kristina Sheiter **
19. Sofija Milosevic **
20. Caroline Lowe **
21. Edita Vilkeviciute **
22. Hanna Edwinson **
23. Niamh Adkins **
24. Olga de Mar **
25. Eva Mikulski **
26. Rosmary Altuve **
27. Aude-Jane Deville **
28. Ana Cucoreanu **
29. Claudia Schiffer **
30. Gintare Sudziute **
31. Lindsay Ellingson **
32. Omer Nudelman **
33. Gillian Nation **
34. Erin Michelle Cummins **
35. Anastasiya Mikhaylyuta **
36. Hannah Ferguson **
37. Frida Aasen **
38. Natasja Madsen **
39. Celeste Bright **
40. Jessica Van Der Steen **
41. Rebecca Romijn **
42. Lane Lindell **
43. Sima Jakuleviciute **
44. Barrett Taylor Sharpe **
45. Andrea Wittenberg **
46. Madison Headrick **
Brunettes
1. Carmella Rose
2. Celine Farach
3. Kelly Gale
4. Lorena Rae
5. Yael Shelbia
6. Renee Murden. **
7. Annie Morrissey. **
8. Jessica Nazarenus. **
9. Cindy Mello. **
10. Josephine Skriver **
11. Taylor Marie Hill **
12. Jasmine Tookes **
13. Barbara Palvin **
14. Chandler Bailey **
15. Charlie Robertson **
16. Elle Trowbridge **
17. Raven Lyn **
18. Rafaella Consentino **
19. Christen Harper **
20. Lucia Bramani **
21. Mariana Salaru **
22. Grace Elizabeth **
23. Hailey Outland **
24. Nicola Cavanis **
25. Shanina Shaik **
26. Sophie Gordon **
27. Marie Teissonniere **
28. Arina Gladkova **
29. Myrtille Revêmont **
30. Mahlagha Jaberi **
31. Carina Zavlina **
32. Vika Bronova **
33. Alessandra Ambrosio **
34. Heidi Klum **
35. Kate Li **
36. Kara Del Toro **
37. Emily Didonato **
38. Xian Mikol **
39. Colleen Cole **
40. Sarah Stephens **
41. Heather Stewart Whyte *
42. Dasha Dereviankina
43. Alyssa Miller **
44. Daniela López Osorio **
45. Simone Villas Boas **
46. Camila Morrone *
47. Petra Nemcova **
48. Elle McPherson **
49. Talia Richman **
50. Desiree Cordero **
51. Juli Mery **
52. Yulia Rose **
* Indicates pictures received.
** Indicates template done.
3 changes have been made to the list:
Anna Selezneva replaced by Celeste Bright.
Maddie Teeuws replaced by Kari Riley.
Adriana Skleranikova replaced by Rebecca Romijn.

6 minutes ago, Stormbringer said:
For making nominations I'm afraid it is.
But the competition hasn't started yet so you're more than welcome to vote!
![]()
ok thank you!
I wish we had more competitions that included actresses and other non-models. There are a lot of them that are way more attractive than most of the models.
But I appreciate the comps we do have. I'm way too busy and lazy to do one myself.

52 minutes ago, Grievous said:I wish we had more competitions that included actresses and other non-models. There are a lot of them that are way more attractive than most of the models.
But I appreciate the comps we do have. I'm way too busy and lazy to do one myself.
The thing about it is that there's usually 2 scenarios:
- When there's a competition including both models and non-models, the models most of the time sweep the floor with the others.
- And when there's a competition having only actresses, singers, athletes, etc (there's been a few), they tend to not generate that much traction or enthusiasm.
In the end it's just that models are the most popular in here.
Ok. That makes sense.

13 hours ago, Stormbringer said:
The thing about it is that there's usually 2 scenarios:
- When there's a competition including both models and non-models, the models most of the time sweep the floor with the others.
- And when there's a competition having only actresses, singers, athletes, etc (there's been a few), they tend to not generate that much traction or enthusiasm.
In the end it's just that models are the most popular in here.
14 hours ago, Grievous said:I wish we had more competitions that included actresses and other non-models. There are a lot of them that are way more attractive than most of the models.
But I appreciate the comps we do have. I'm way too busy and lazy to do one myself.
13 hours ago, Stormbringer said:
The thing about it is that there's usually 2 scenarios:
- When there's a competition including both models and non-models, the models most of the time sweep the floor with the others.
- And when there's a competition having only actresses, singers, athletes, etc (there's been a few), they tend to not generate that much traction or enthusiasm.
In the end it's just that models are the most popular in here.
I wonder what would happen if you took the most popular actresses and alternated rounds rating the celebs and then the models. Say one round Audrey Hepburn and Charlize Theron and the next Doutzen and Rosie Whitney as an example. Then the question is if the same number of people vote in celeb rounds though.

THE PICS NEEDS TO BE BIG, BIIIIIIIIIIIIIIIIG AND NOT LOW QUALITY
OK?
please

3 minutes ago, peroxideblonde said:THE PICS NEEDS TO BE BIG, BIIIIIIIIIIIIIIIIG AND NOT LOW QUALITY
OK?
please
![]()
It's a hard ask.....
(I know your pain)